Beranda
/ Invers Fungsi Pangkat 3 : Pemahaman Bentuk Pangkat Untuk Memudahkan Invers Fungsi Showme / Asam basa bentuk molekul entalpi kelarutan laju reaksi termokimia.
Invers Fungsi Pangkat 3 : Pemahaman Bentuk Pangkat Untuk Memudahkan Invers Fungsi Showme / Asam basa bentuk molekul entalpi kelarutan laju reaksi termokimia.
Invers Fungsi Pangkat 3 : Pemahaman Bentuk Pangkat Untuk Memudahkan Invers Fungsi Showme / Asam basa bentuk molekul entalpi kelarutan laju reaksi termokimia.. (f ◦ g)(x) = f (g (x))→ komposisi g (fungsi f bundaran g atau fungsi komposisi dengan g dikerjakan terlebih dahulu daripada f) gambar 7 (g ◦ f)(x)= g (f (x))→ komposisi f (fungsi g bundaran f atau fungsi komposisi dengan f dikerjakan terlebih dahulu daripada g) Tentukan invers dari fungsi f (x)=52x+3. Buat contoh f (x) = y dalam persamaan. Hubungan tersebut bisa dinyatakan seperti berikut: Berlaku sifat asosiatif, (f ◦(g ◦ h))(x) = ((f ◦ g)◦ h)(x).
See full list on yuksinau.id Tidak berlaku sifat komutatif, (f ◦ g)(x) ≠ (g ◦ f)(x). Tidak terdapat dua atau lebih domain berbeda dipetakan ke kodomain yang sama. Agar kalian dapat memahami lebih jelas mengenai fungsi invers, coba kita kerjakan contoh soalberikut ini. Mar 27, 2021 · fungsi invers.
Seutas Ilmu Invers Suatu Fungsi from rumus-matematika.com Serta pada setiap kodomain mempunyai pasangan di domain. Cara mendapatkan invers fungsi logaritma. (f ◦ g)(x) = f (g (x))→ komposisi g (fungsi f bundaran g atau fungsi komposisi dengan g dikerjakan terlebih dahulu daripada f) gambar 7 (g ◦ f)(x)= g (f (x))→ komposisi f (fungsi g bundaran f atau fungsi komposisi dengan f dikerjakan terlebih dahulu daripada g) Adanya unsur identitas (l)(x), (f ◦ l)(x) = (l ◦ f)(x) = f(x). 2x2+ 4x + 1 jawab: See full list on yuksinau.id Agar kalian dapat memahami lebih jelas mengenai fungsi invers, coba kita kerjakan contoh soalberikut ini. Fungsi invers yaitu suatu fungsi kebalikan dari fungsi asalnya.
Tidak terdapat dua atau lebih domain berbeda dipetakan ke kodomain yang sama.
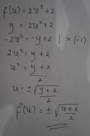
Cara menentukan invers fungsi ( x + 4 ) pangkat 5. Sesuai dengan konsep invers fungsi, langkah pertama untuk menyelesaikan invers fungsi eksponen di atas adalah dengan memisalkan fungsi f (x) sebagai y, sehingga diperoleh bentuk berikut ini. See full list on yuksinau.id Bagaimana cara menentukan invers dari fungsi kuadrat? Fungsi komposisi bisa kita tuliskan seperti berikut ini: X2 + 2x + 2 3. 2x2+ x + 2 4. Kodomain 9 tidak mempunyai pasangan pada anggota domain. Cara menentukan invers fungsi ( x + 4 ) pangkat 5. Hubungan tersebut bisa dinyatakan seperti berikut: Cara mengerjakan invers fungsi x pangkat. Cara mendapatkan invers fungsi logaritma. Tidak terdapat dua atau lebih domain berbeda dipetakan ke kodomain yang sama.
Cara mengerjakan invers fungsi x pangkat. Perhatikan gambar yang ada di bawah ini: Jika fungsi berbentuk linear dinyatakan sebagai f(x) = ax + b, maka invers dari fungsi tersebut dapat ditentukan berdasarkan rumus praktis berikut ini. Mar 27, 2021 · fungsi invers. Cara menentukan invers fungsi ( x + 4 ) pangkat 5.
Fungsi Invers Dari Suatu Fungsi Komposisi Matematika from d14fikpiqfsi71.cloudfront.net See full list on yuksinau.id Buat contoh f (x) = y dalam persamaan. Cara menentukan invers fungsi x pangkat 3. (simak ui 2013 dasar) 1. Barisan limit limit euler limit trigonometri. Asam basa bentuk molekul entalpi kelarutan laju reaksi termokimia. Fungsi invers yaitu suatu fungsi kebalikan dari fungsi asalnya. Tentukan rumus fungsi invers dari fungsi f(x) = 2x + 6.
Sesuai dengan konsep invers fungsi, langkah pertama untuk menyelesaikan invers fungsi eksponen di atas adalah dengan memisalkan fungsi f (x) sebagai y, sehingga diperoleh bentuk berikut ini.
Berdasarkan gambar dari pemetaan di atas, pemetaan pertama menunjukan fungsi bijektif. Kunci cara mengerjakan invers fungsi akar n. Aug 16, 2020 · untuk menentukan fungsi terbalik dari suatu fungsi, lanjutkan sebagai berikut: Perhatikan gambar yang ada di bawah ini: Agar kalian dapat memahami lebih jelas mengenai fungsi invers, coba kita kerjakan contoh soalberikut ini. X2 + 2x + 2 3. Jan 01, 2019 · kunci cara mencari invers fungsi pecahan. Berlaku sifat asosiatif, (f ◦(g ◦ h))(x) = ((f ◦ g)◦ h)(x). Apakah fungsi bentuk pangkat adalah fungsi logaritma? Tentukan rumus fungsi invers dari fungsi f(x) = 2x + 6. Cara mendapatkan invers fungsi logaritma. (f ◦ g)(x) = f (g (x))→ komposisi g (fungsi f bundaran g atau fungsi komposisi dengan g dikerjakan terlebih dahulu daripada f) gambar 7 (g ◦ f)(x)= g (f (x))→ komposisi f (fungsi g bundaran f atau fungsi komposisi dengan f dikerjakan terlebih dahulu daripada g) Persamaan diatur ke f (x) = y, jadi kami menemukan fungsi dalam y dan menyatakan x = f (x).
See full list on yuksinau.id Menentukan f(x) (g ◦ f)(x) = 2x2 + 4x + 5 g(f(x)) = 2x2 + 4x + 5 2(f(x)) + 3 = 2x2 + 4x + 5 f(x) = x2+ 2x + 1 jawabannya: Apakah fungsi bentuk pangkat adalah fungsi logaritma? Kunci cara mengerjakan invers fungsi akar n. Adanya unsur identitas (l)(x), (f ◦ l)(x) = (l ◦ f)(x) = f(x).
Tentukan Invers Untuk Setiap Fungsi Berikut F X 2x 7 3x 5 X 5 3 Mas Dayat from 1.bp.blogspot.com Cara menentukan invers fungsi x pangkat 3. Menentukan f(x) (g ◦ f)(x) = 2x2 + 4x + 5 g(f(x)) = 2x2 + 4x + 5 2(f(x)) + 3 = 2x2 + 4x + 5 f(x) = x2+ 2x + 1 jawabannya: Sesuai dengan konsep invers fungsi, langkah pertama untuk menyelesaikan invers fungsi eksponen di atas adalah dengan memisalkan fungsi f (x) sebagai y, sehingga diperoleh bentuk berikut ini. Aug 16, 2020 · untuk menentukan fungsi terbalik dari suatu fungsi, lanjutkan sebagai berikut: Hubungan tersebut bisa dinyatakan seperti berikut: Tentukan rumus fungsi invers dari fungsi f(x) = 2x + 6. Apakah fungsi invers dari fungsi f? 2x2+ x + 2 4.
Cara menentukan invers fungsi ( x + 4 ) pangkat 5.
See full list on yuksinau.id Tidak terdapat dua atau lebih domain berbeda dipetakan ke kodomain yang sama. (simak ui 2013 dasar) 1. Apakah fungsi bentuk pangkat adalah fungsi logaritma? See full list on yuksinau.id Berdasarkan gambar dari pemetaan di atas, pemetaan pertama menunjukan fungsi bijektif. Persamaan diatur ke f (x) = y, jadi kami menemukan fungsi dalam y dan menyatakan x = f (x). Cara menentukan invers fungsi ( x + 4 ) pangkat 5. X2 + 2x + 1 2. Tentukan rumus fungsi invers dari fungsi f(x) = 2x + 6. Jika fungsi berbentuk linear dinyatakan sebagai f(x) = ax + b, maka invers dari fungsi tersebut dapat ditentukan berdasarkan rumus praktis berikut ini. Serta pada setiap kodomain mempunyai pasangan di domain. Perhatikan gambar yang ada di bawah ini:
Berbagi
Posting Komentar
untuk "Invers Fungsi Pangkat 3 : Pemahaman Bentuk Pangkat Untuk Memudahkan Invers Fungsi Showme / Asam basa bentuk molekul entalpi kelarutan laju reaksi termokimia."
Posting Komentar untuk "Invers Fungsi Pangkat 3 : Pemahaman Bentuk Pangkat Untuk Memudahkan Invers Fungsi Showme / Asam basa bentuk molekul entalpi kelarutan laju reaksi termokimia."